 |
|
|
|
|
|
Ana Menü
Ziyaretçi Bilgileri
| »Aktif |
6
|
| »Bugün |
124
|
| »Toplam |
680266
|
| Sayın Ziyaretçimiz |
| »IP'niz |
10.2.135.180
|
| » Bu sitemizi
ziyaretiniz |
|
Anasayfa » ŞUBE HABERLERİ
TÜRK EĞİTİM-SEN MERSİN 1 NOLU ŞUBE 8. OLAĞAN KONGRE SÜRECİ İŞLEMLERİ DUYURUSU
27 Eyl?l 2025, 14:18
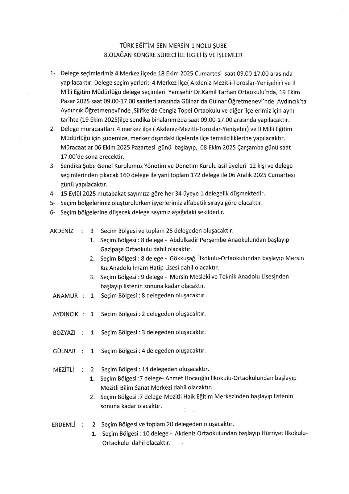
Türk Eğitim Sen Mersin 1 Nolu Şube 8. Olağan Kongre süreci ile ilgili iş ve işlemleri haberde verilen resmi belgede belirtilen süreçlerde tamamlanacaktır.
Bu haber 299 defa okunmuştur.
 |
ŞUBE HABERLERİ |
 |
|
|
|
|
 |
BENİM ÖĞRETMENLERİM-125 Ekim 2020 |
|
VİDEO ARA
|
|
Türkiye Kamu-Sen Mersin
RSS Kaynağı | Anasayfa | İletişim
Altyap?: MyDesign Haber Sistemi
|